라이벨서스(Rybelsus) : semaglutide
안녕하세요.
세상의 모든 신약을 분석하는 이오형입니다.
오늘은 너무 흥미로운 GLP-1 유사체 약 중에서도 가장 흥미로운 약인 라이벨서스에 대한 이야기를 해보려고 합니다.

라이벨서스의 경제적 가치, 치료원리, 그리고 매력요인이 무엇인지 하나씩 살펴보도록 하겠습니다.
라이벨서스란?
우리는 왜 라이벨서스에 주목해야 할까요?
라이벨서스는 semaglutide라는 물질이 주 성분입니다.
그런데 이 semaglutide는 사실 위고비 라는 비만치료제와 오젬픽 이라는 당뇨치료제의 주 성분입니다.
즉 semaglutide 라는 물질 하나가 위고비, 라이벨서스 그리고 오젬픽이라는 세 가지 약인 것이죠.
이 물질이 비만치료를 위한 주사제이면 위고비
이 물질이 당뇨 치료를 위한 주사제이면 오젬픽
이 물질이 당뇨 치료를 위한 먹는 약이면 라이벨서스
이렇게 됩니다.
2023년 노보노르디스크 연간 보고서에 따르면 각각의 매출이
위고비 1,913,000,000 DKK
오젬픽 26,378,000,000 DKK
라이벨서스 7,389,000,000 DKK
입니다.
다 합치면 35,680,000,000 DKK (덴마크 크로나) 이고,
달러로 약 5,214,000,000 달러입니다.
한화로는 6931882650000원, 즉 693188265만 = 69318억 = 6.9조원 이라는 엄청난 매출이 나옵니다.
즉 세마글루타이드라는 물질이 한 해에 6.9조원을 벌어들이고 있는 것이죠.
대체 semaglutide 는 뭐길래 이런 돈을 벌어들이고 있는 걸까요?

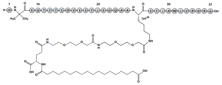
semaglutide 는 이렇게 생긴 물질입니다.
우리몸에서 배부름을 감지하는 호르몬인 GLP-1 이라는 호르몬이 있는데, 이 호르몬을 닮은 물질이 바로 semaglutide 입니다.
이 호르몬이 하는 일은 위의 비워짐을 막고, 뇌에 배부르다는 느낌을 주고, 인슐린을 분비하도록 합니다.
그래서 이 GLP-1 호르몬을 닮은 semaglutide 도 이런일을 할 수 있습니다.
그러다보니 당연히 밥을 안먹게 해서 비만치료가 되고, 인슐린이 잘 나오게 해서 당뇨가 치료가 되는 것입니다.
그런데 GLP-1과 semaglutide 는 모두 펩타이드입니다.
펩타이드는 짧고 덜 구조화된 단백질을 말합니다.
우리가 단백질을 먹으면 어떻게 되죠?
위에서 소화가 되어버립니다.
그래서 오젬픽과 위고비는 주사제로 맞고 있어요.
그런데, 노보노르디스크가 혁신을 만들어 냅니다.
주사제로만 가능할 것 같은 펩타이드약을 먹을 수 있게 만들었어요.
그게 바로 라이벨서스인거죠.
즉 라이벨서스는 주사제로만 가능한 꿈의 신약을 먹을 수 있게 가공한 약 이라고 생각해주시면 됩니다.
2세대 약의 가장 큰 허들 중 하나가 주사제로만 가능하다는 것이었는데, 어쩌면 라이벨서스를 통해 단백질 기반 의약품의 경구용제로의 개조가 가능할지도 모르겠네요.
그럼 어떻게 이 일이 가능했는지 기술적으로 알아보겠습니다.
라이벨서스의 흡수방법
아까 말씀드렸듯이 라이벨서스는 먹으면 소화가 되어버릴 거 같은데, 소화되지 않고 그대로 흡수되는 것이 장점입니다.
어떻게 단백질이 소화가 되지 않고 몸으로 흡수가 될 수 있을까요?
이 답은 Rybelsus 의 설명서를 보면 됩니다.
설명서의 Pharmacokinetics - Absorption 부분을 보면 이렇게 적혀있습니다.
Semaglutide is co-formulated with salcaprozate sodium which facilitates the absorption of semaglutide after oral administration. The absorption of semaglutide predominantly occurs in the stomach.
오젬픽이나 위고비는 딱 세마글루타이드만 들어있는데 (다른 필수적인 요소 제외)
라이벨서스는 salcaprozate sodium 이라는 물질과 함께 제조했다고 되어있네요.
이 물질이 경구용제제로 사용될 수 있게 하며, 위에서 흡수될 수 있게 한다고 합니다.
salcaprozate sodium 는 이름이 너무 길죠?
보통 SNAC 이라고 많이 부르니 아래에서부터는 SNAC 이라 칭하겠습니다.

이 Salcaprozate sodium(SNAC) 이 하는 일은 semaglutide가 위에서 흡수될 수 있게 하는 역할이라고 합니다.
원래도 이 SNAC 이라는 물질은 oral bioavailability 를 높여줍니다.
즉 경구용제의 흡수율을 높이는 보조제 정도의 개념입니다.
이 물질은 emisphere 라고하는 작은 drug delivery 연구하는 회사가 Novo Nordisk 사와 협력하면서 개발한 기술인데요,
이 SNAC 을 개발한 뒤, 노보노르디스크가 실제로 이걸 이용해서 라이벨서스를 성공해버립니다.
그 뒤 노보노르디스크는 이 회사를 인수했습니다.
그래서 주사제를 경구용제로 만드는 핵심기술은 현재 노보노르디스크만이 이용할 수 있는 것이죠
SNAC 의 원리
그럼 SNAC 은 어떤 원리로 단백질인 semaglutide 가 소화되지 않고 몸 안으로 흡수될 수 있게 하는 걸까요?
아직 완전히 그 원리가 과학적으로 규명이 된 것은 아닙니다.
하지만 라이벨서스를 개발하면서 Novo Nordisk 사에서 어느정도의 메커니즘에 대해서는 이미 발표를 했습니다.
결론부터 말하면 micelle-like 하게 semaglutide 에 붙어서 소화효소의 접근을 억제하고,
passive transcellular permeation, 즉 수동수송 방법을 통해서 약물이 이동하게 합니다.
소화효소 억제
그럼 자세한 설명 들어가겠습니다.
먼저 소화효소의 접근을 억제하는 방법입니다.
우리의 위에서 일어나는 단백질 소화과정을 간단히 살펴볼게요.
위에서는 단백질 분해효소인 pepsin(펩신) 이 나옵니다.
모든 단백질은 아미노산 20종이 결합되어 있는 형태입니다.
아미노산과 아미노산을 연결하는 결합을 펩타이드결합이라고 하는데,
이 펩타이드 결합이 깨어지면 더이상 단백질로써의 기능을 수행하지 못하고, 그냥 아미노산이 되어 영양소로 흡수가 되어버리겠죠?
펩신이 하는 일은 이 펩타이드 결합을 깨서 단백질이 아닌 아미노산을 흡수하게 만드는 일입니다.
이 과정은 소화에는 필수적이지만, 우리가 단백질 기반의 약을 먹으면 전혀 약이 작용을 안하는 원인이기도 합니다.
그래서 위에서 펩신이 semaglutide 를 자르지 못하게 해야합니다.
이때 SNAC 이 있으면 semaglutide 주변으로 모여서 일종의 보호막을 형성합니다.
그래서 semaglutide 로 펩신이 접근하지 못하게되고, 분해가 되지 않는 것이죠.
흡수 방법
그 다음 어떻게 흡수되는가 입니다.
일반적으로 영양소의 흡수는 장에서 이루어집니다.
장의 상피세포는 영양소를 흡수할 수 있는 통로가 있습니다.
포도당 통로를 통해서만 포도당이 들어갈 수 있고,
아미노산 통로를 통해서만 특정 아미노산이 들어갈 수 있습니다.
그래야 우리가 필요한 것들만 효율적으로 얻을 수 있겠죠?
우리는 몸에 semaglutide 흡수 하는 수용체가 없습니다 (semaglutide transporter 가 없다 라고 설명할 수 있겠네요)
그런데 어떻게 먹어서 semaglutide 를 몸으로 가져올 수 있을까요?
바로 수동수송을 이용합니다.
다들 능동수송이라는 말은 들어보셨을 거에요.
일반적으로 영양소의 흡수는 능동수송을 통해서 이루어집니다.
그래서 영양소 별로 각각의 통로가 있습니다
능동수송이란 많은 곳으로 가져오는 일 입니다.
그러니까 평형을 이루려는 자연의 성질과 반대되는 일이라서 우리 세포들이 일해야 가져올 수 있습니다.
그런데 수동수송은 가만히 놔두면 평형을 이루는 자연을 그대로 이용하는 일입니다.
삼투, 확산같은 원리를 이용하는 것이죠.
아까 첫번째 파트에서 semaglutide 에 SNAC 이 가득 붙어서 복합체를 형성한다고 말씀드렸습니다.
이렇게 복합체를 형성하게 되면, 이 복합체 주변으로 pH 차이가 발생한다고 합니다.
그래서 위장벽을 농도기울기에 의해서 수동으로 이동할 수 있게 된다고 합니다.
아마도 SNAC 이 detergent 와 같은 역할을 해서 cell 안을 들어갈 수 있게하는듯 하는데, 이 부분은 관련 논문이 출판되면 그때 더 알아봐야겠네요.
아니면 특허공보를 찾아보고 보충해드리겠습니다.
그럼 다시 라이벨서스를 어떻게 먹을 수 있는지 정리해 드리면,
SNAC 이라는 물질이 semaglutide 를 감싸 소화효소를 억제하고, 위장벽에서의 수동수송을 촉진해 흡수된다
이렇게 외워두시면 됩니다.
라이벨서스의 단점
그럼 라이벨서스가 이렇게 좋으면 다 먹으면 되는거 아닌가?
왜 굳이 주사제(오젬픽)을 맞는거지? 라는 의문을 가지실 수 있습니다.
라이벨서스는 오젬픽보다 효율이 떨어집니다.
약제 자체는 semaglutide 라서 효능은 같은데,
같은 양을 먹으면 상대적으로 몸에 남는 양이 적거든요.
이부분은 두 약의 임상결과를 보면서 비교해드리겠습니다.
라이벨서스는 7mg 짜리와 14mg 짜리가 있습니다.
각각 먹고나면 몸 속 농도가 6.7nM, 14.6nM 이 됩니다.
오젬픽은 0.5mg 짜리, 1mg 짜리, 그리고 2ng 짜리 가 있는데
각각 먹고나면 몸 속 농도가 65ng/mL, 123ng/mL, 222ng/mL 라고 합니다.
semaglutide 의 분자량이 약 4113g/mol 이므로 이를 단위통일을 시켜주면
약 15nM, 30nM, 54nM 이 됩니다.
단순 비교해보면 라이벨서스 14mg 정을 먹었을때의 혈중 약의 농도가 14.6nM이고
오젬픽 0.5mg 짜리를 주사제로 맞았을 때의 혈중 약의 농도가 15nM 로 거의 같습니다.
즉 흡수 효율이 단순 계산으로 봐도 28배나 차이가 납니다.
둘 다 성분은 같다보니 몸 안에서 지속은 4-5주정도가 steady state 라고 합니다.
그래서 흡수의 효율로만 따진다면 오젬픽이 낫기 때문에 오젬픽을 여전히 많이 쓴다 라고 생각해주시면 됩니다.
그럼 라이벨서스는 굳이 왜 먹게 만들었을까요?
바로 모두가 주사제를 쓸 수 있는게 아니기 때문입니다.
혈액응고장애가 있으면 주사제를 최대한 피해야겠죠?
또한 면역력이 과하게 약해진 경우도 주사제를 피하는게 좋겠죠?
그리고 주사에 공포감이 있는 사람들에게도 새로운 선택지로써 좋습니다
무엇보다 라이벨서스의 등장은 바이올로직스의 진보 가능성을 나타내는 것 같습니다.
그럼 지금까지 혁신에 혁신을 더한 약물 라이벨서스에 대한 간단한 설명이었습니다.
Semaglutide 라는 혁신적 약물을 먹을 수 있게 바꿨다는 것이 라이벨서스의 의의입니다.
아무래도 semaglutide 자체의 약학적 효능은 충분히 검증되어있기 때문에 이번에는 길게 설명드리지는 않았습니다.
먹을 수 있다는 점에서 좋지만, 주사제보다는 흡수효율이 떨어진다는 단점이 있습니다.
라이벨서스와 성분이 같은 오젬픽에 대해 궁금하신 분들은 여기를 참고해주세요.
https://dueffect.tistory.com/31
오젬픽 ( Ozempic : semaglutide )
오젬픽 ( Ozempic : semaglutide ) 오젬픽은 노보 노르디스크사에서 개발한 당뇨치료제이다. 일주일에 한 번 피하주사 방식으로 약을 투여하면 된다. 2017년 FDA 승인 이후, 많은 나라에서 승인되었고 엄
dueffect.tistory.com
당뇨시장 분석이 궁금하신 분들은 여기를 참고해주세요.
https://dueffect.tistory.com/28
당뇨시장 전격 분석
저번 일라이 릴리 사의 마운자로를 공부하다보니 당뇨시장에 관심이 생겼다. 재미로 일라이 릴리 주식을 샀는데, 이 물장에서 무려 10%나 되는 수익을 안겨줬다. 우리는 왜 당뇨시장에 관심을 갖
dueffect.tistory.com
미국의 바이오제약 신기술이 궁금하신 분들은 여기를 참고해주세요.
https://dueffect.tistory.com/83
바이오제약 신기술 - GLP-1 유사체 당뇨약
바이오제약 신기술 - GLP-1 유사체 당뇨약 안녕하세요 여러분 바이오제약업계를 과학적으로 분석하는 이오형입니다. 오늘은 지난번에 이어서 미국 바이오제약 기업들의 신기술을 분석해보려고
dueffect.tistory.com
그럼 다음번에는 더 새로운 기술인 CAR-T 연재로 돌아오겠습니다.
'바이오주식 > 상품 분석' 카테고리의 다른 글
| Yescarta와 Tecartus (0) | 2024.04.04 |
|---|---|
| 킴리아(Kymriah) : Tisagenlecleucel (0) | 2024.04.03 |
| 코센틱스 (Cosentyx) : Secukinumab (0) | 2024.03.11 |
| 오렌시아 (Orencia) : Abatacept (4) | 2024.03.05 |
| 트라이카프타 (TRIKAFTA) : elexacaftor/tezacaftor/ivacaftor (5) | 2023.12.27 |