오젬픽 ( Ozempic : semaglutide )

오젬픽은 노보 노르디스크사에서 개발한 당뇨치료제이다.
일주일에 한 번 피하주사 방식으로 약을 투여하면 된다.
2017년 FDA 승인 이후, 많은 나라에서 승인되었고 엄청난 양이 판매되고 있다.
올해 우리나라 식약처에서도 승인되었는데, 우리나라에서의 귀추도 주목된다.
오젬픽의 매출
오젬픽은 2020년 매출 3위의 당뇨치료제이다.
2017년 12월 당뇨치료제로 FDA 승인이 되었는데, 3년 만에 3등이나 해버렸다.
미친놈이다...
오젬픽의 2021년 매출은 33,705,000,000 크로나다.
오늘 자 DKK-WON 환율을 적용해서 계산을 한번 해보면 한화로 약 5.9조다....
입이 떡 벌어지는 수치다.
노보 노르디스크의 2021년 매출의 일등 공신이 오젬픽이다.
그런데 심지어 2020년에 당뇨 합병증 심혈관계 질환의 치료 용도로도 쓸 수 있다고 승인이 되버렸다.
이건 진짜 물건이다..
원래 우리나라에는 오젬픽이 안들어왔었는데, 2022년 4월 28일, 그니까 약 두 달 전에 우리나라 식약처 허가를 받았다.
세계를 휩쓴 약이 우리나라에도 들어오게 되었다.
노보 노르디스크 비율 확대가 절실하다.

씨드만 있었으면... 삼성에만 안물렸으면...
오젬픽의 원리
오젬픽은 저번에 분석했었던 마운자로, 트루리시티, 빅토자와 같은 군인 GLP-1 receptor agonist에 속한다.
빅토자와 같은 회사인 novo nordisk사에서 개발되었으니, 빅토자의 동생격 되는 셈이다.
그런데 오젬픽은 언니보다 나은 동생이다.
단순히 매출 측면에서만 그런건 아니고, 오젬픽은 더 오래가고, 더 많은 기능을 갖고 있는 약이기 때문이다.
일단 기본적으로 오젬픽이 어떻게 당뇨약으로 작용하는 지 부터 보자.
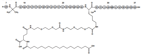
오젬픽의 주 성분은 semaglutide라는 물질이다.
-tide 꼴로 끝나니까 펩타이드, 즉 작은 단백질이라고 생각하면 된다.
semaglutide는 GLP-1 유사체이다.
몇 번이나 말했지만, 한 번 더 설명하자면 GLP-1은 배부름 호르몬이다.
우리가 밥을 먹으면 소화기관에서 GLP-1을 분비한다.
GLP-1은 뇌로 가서 배부름을 느끼게 하고, 췌장으로 가서 인슐린을 분비하게 하고, 위로 가서 음식물이 사라지는 것을 막는다.
오젬픽은 이 배부름 호르몬 GLP-1을 닮은 놈이다.

저번에 빅토자가 GLP-1과 97% 일치한다고 했었는데, 오젬픽은 그것보다는 좀 덜 닮아서 94% 일치율을 보인다.
그림에 보면 7번 아미노산 옆 8번 자리에 이상한 분자가 그려져 있는 것이 보인다.
저 자리에 변형된 아미노산을 달아놓았다.
이렇게 하면 DPP-4라는 펩타이드 분해효소로부터 살아남아서 더 오래 몸속에 남아있을 수 있다.
그리고 26번 라이신에 길다란 분자가 붙어있는 게 보일것이다.
탄소 18개짜리 지방산이 붙어있는데, 이 지방산은 오젬픽 분자가 알부민에 붙게 해준다.
신장은 분자량이 작은 물질을 필터링 해서 내보내버리는데(renal clerane), 오젬픽은 아주 작은 단백질이라 나가버린다.
그런데 오젬픽이 알부민과 붙어있으면, 그냥 큰 단백질로 인식해 몸 밖으로 빠져나가는 것을 막아준다.
그래서 오젬픽을 한 마디로 정리해 보자면 배부름 호르몬이랑 거의 똑같은데, 지속시간을 더 늘릴 수 있게 변형해놓은 놈 이라고 생각하면 된다.
이렇게 변형을 해도 원래 타겟인 GLP-1 receptor와 잘 붙을 수 있기 때문에, 오젬픽은 췌장으로 가서 인슐린 분비를 유도할 수 있는 것이다.
오젬픽에 이러한 변형을 주면 반감기가 어마어마하게 증가한다.
빅토자는 13시간의 반감기를 가져서 하루에 한 번 맞아줘야 했다.
그런데 오젬픽은 1주일에 한번 맞아준다. 엄청난 증가지?
이렇게 자주 맞아줄 필요가 없는 약은 관리하기도 쉽고, 환자의 부담도 적어서 성공확률이 더 높다.
그래서 오젬픽은 언니(빅토자)보다 나은 동생이라는 거다.
아까 오젬픽이 인슐린을 분비하게 한다고 했는데, 이게 무작정 인슐린을 나오게 해서 저혈당쇼크 오게한다는 건 아니다. 오젬픽은 glucose-dependent insulin release를 촉진한다. 혈당이 높을 때 인슐린이 분비되게 한다.
당뇨병 환자는 혈당이 높아도 인슐린이 안나오는데, 혈당이 높을 때 인슐린이 나오게 정상적으로 돌려주는 약이라고 생각하면 된다.
오젬픽과 라이벨서스의 관계
novo nordisk 사에는 GLP-1 analog로 만든 당뇨약이 3개가 있다.
빅토자는 리라글루타이드라는 물질이 주성분이다.
오젬픽은 세마글루타이드가 주성분이다.
그리고 라이벨서스라는 약이 하나 더 있는데, 얘도 세마글루타이드가 주성분이다.
그럼 라이벨서스가 대체 뭐길래 같은 물질인데 다른 이름으로 또 만든걸까?

라이벨서스는 2019년에 FDA에 승인되었다.
최초의 경구용 GLP-1 receptor agonist 이다.
그니까 먹는 GLP-1 receptor agonist라는 것이다.
그런데 내가 저번에 GLP-1 receptor agnoist는 펩타이드, 결국 아주 작은 단백질이라서 먹으면 소화효소가 분해해 버린다고 말했었다.
그럼 라이벨서스는 뭘 어떻게 했길래 소화효소가 분해못하는 펩타이드를 만든걸까.
이건 사실 혁신 그 자체다.
여기서 novo nordisk의 투자 가능성이 보인다.
어떻게 했는지는 라이벨서스 분석에서 자세히 다룰 것이다.
어쨋든 결론은 세마글루타이드라는 물질을 가지고, 투여 방식을 다르게 해서 두 개의 상품을 만들었다는 것이다.
둘은 근본적인 성질은 같고, 투여방식에 따른 차이가 좀 있는 약이라는 것을 알아두면 좋을 것이다.
심혈관계 치료약으로써 오젬픽
오젬픽은 2020년에 심혈관계치료 기능을 FDA에 승인받았다.
정확하게 말하면, 다른 요인으로 인한 심혈관질환을 치료해주는건 아니고, 당뇨합병증으로 인한 심혈관질환의 치료를 말하는 것이다.
당뇨는 사람을 직접 죽음에 이르게하는 병은 아니다.
대신 천천히 합병증을 일으키는 병이다.
당뇨환자는 자신의 당화혈색소 농도와 함께 심장 질환도 주의 깊게 관리해야한다.
당뇨병에 걸린 군은 비당뇨군에 비해 심혈관계 질환 발병률이 4배까지 높다.
이 현상을 오젬픽이 막아준다는 것이다.
당뇨환자들중 오젬픽을 투여한 군과, 오젬픽을 투여하지 않은 군에게서 심혈관질환 발병률을 비교한 SUSTAIN-6 임상 결과이다.

26%의 위험 감소가 보였다.
*참고로 이 그래프를 직접 해석하려하지 마세요.
그래프 제목과, x축, y축, 임상실험 설계방식에 대해 모르는 사람이 그래프만 보고 의미를 때려 맞추면 안됩니다.
당뇨의 두 축을 모두 해결해주는 만능 해결사다.
아직 정확하게 어떤 원리로 심혈관계질환 개선에 도움을 주는지는 내가 못 찾았다.
찾게되면 바로 추가하겠다.
오젬픽의 부작용과 투여 주의군
오젬픽은 오래가고, 기능도 많은 약이다.
그런데 오래간다는건 어떻게 생각하면 위험하다.
선별성이 떨어질 수도 있다는 뜻이거든.
기능이 많다는것도 어떻게 생각하면 위험하다.
어떤 상호작용이 일어날지 알 수 없다는 뜻이거든.
그래서 알려진 부작용과 투여 주의군을 더욱 주의깊게 보시길 바란다.
(의사가 처방해주면 걱정할 필요는 없습니다. 투자자 관점으로 얘기를 하는 것입니다.)
이번에도 흔한 부작용인 두통, 메쓰꺼움 등은 설명은 따로 하지 않고 임상결과만 넣어 놓겠다.

오젬픽 투여시 발생할 수 있는 심각한 부작용 리스트는 다음과 같다.
1. 갑상선 C 세포종
쥐 실험에서 세마글루타이드의 투여량에 비례하게 종양이 발견되었다.
세마글루타이드의 인간 대상 실험에서는 밝혀진 바 없으나, 다른 GLP-1R agonist인 liraglutide를 투여한 환자가 이 암이 걸린 경우가 보고되었다.
리라글루타이드는 노보 노르디스크에서 먼저 개발했던 약 빅토자이니, 이를 참고하면 더 좋을 것 같다.
2. 췌장염
대조군에 비해 유의미하게 많은 수치로 발생했다.
3. 당뇨성 망막병증
오젬픽을 투여하면, 비 투여군에 비해서 망막병증 발병 확률이 증가했다.
대조군은 1.8%, 오젬픽 투여군은 3.0%였다.
신기하게도 혈당 조절 능력이 빠르게 정상화되면 당뇨성 망막병증이 심각해진다고 한다.
아마 이런 이유로 망막병증의 확률이 높아지는 것을 보인다.
4. 저혈당
특히 인슐린제제와 함께 오젬픽을 복용하면 저혈당 쇼크가 올 수 있다.
5. 급성신장손상
흔한 부작용인 메스꺼움이나 구토가 있는 환자들의 경우 급성 신장 손상의 확률이 높다고 한다.
이는 모든 GLP-1R agonist에서 공통적으로 나타나는 현상이나, 지속적인 관찰이 필요하다
6. 과민반응
아낙필락시스등이 발생할 수 있다.
7. 급성방광질환
오젬픽을 포함한 다른 GLP-1R agonist에서 나타나는 병이며, 오젬픽에서도 유사한 부작용이 보여진다.
특히, 방광질환 중 하나인 Choleitaiasis는 대조군에서는 아예 발생하지 않는데, 오젬픽 투여군에서만 관찰되었으므로 주의가 필요하다.
추가로, 세마글루타이드는 인조적인 펩타이드다.
아무리 GLP-1 과 비슷하게 생겼어도, 우리 몸의 면역계가 세마글루타이드를 적으로 인식할 수 도 있다.
그럴 경우 오젬픽에 면역반응이 나타날 수 있다.
즉 오젬픽이 면역원성을 갖게 된다는 뜻이다.
임상결과 1%의 환자들이 세마글루타이드에 대항하는 항체가 만들어졌다고 한다.
그리고 이들 중 60%인 0.6%에서, 이 항체가 실제 호르몬인 GLP-1에도 붙었다고 한다.
즉 오젬픽때문에 원조 호르몬인 GLP-1에도 문제가 생길 수 있으니 면역원성 역시 조심해야 한다.
정리
이렇게 지금까지 오젬픽의 매출, 원리, 기능, 연관 약품, 부작용등에 대해서 간단히 알아보았다.
매출 엄청나고, 원리와 기능 분명하고, 연관 약품도 있다.
부작용이 좀 많긴 한데, 이는 생각해볼만한 문제다.
일단 오젬픽은 엄청 많이 팔리는 약인데, 많이 팔린다는 뜻은 점점 더 많은 임상 데이터가 쌓인다는 말과 같은 뜻이다.
이 약을 직접 투여할 사람도 부작용을 너무 걱정할 필요는 없고, 투자자들도 지금까지의 판매를 보면 너무 걱정할 필요가 없을 것이다.
어쨋든 잘 알아보고 오젬픽이 매력있는 투자상품이라고 생각되면 노보 노르디스크에 대해 한번 알아보시길 추천합니다.
* 이 글은 상품에 대한 개인적인 견해이며 투자 권유가 아닙니다. 투자 결과에 대한 책임은 본인에게 있습니다.
* 모든 당뇨병 치료제들 알아보기
https://dueffect.tistory.com/28
당뇨시장 전격 분석
저번 일라이 릴리 사의 마운자로를 공부하다보니 당뇨시장에 관심이 생겼다. 재미로 일라이 릴리 주식을 샀는데, 이 물장에서 무려 10%나 되는 수익을 안겨줬다. 우리는 왜 당뇨시장에 관심을 갖
dueffect.tistory.com
'바이오주식 > 상품 분석' 카테고리의 다른 글
| 파륵시가(Farxiga) : Dapagliflozin (0) | 2022.07.13 |
|---|---|
| 자디안스 ( Jardiance ) : Empagliflozin (0) | 2022.07.12 |
| 빅토자(Victoza) : liraglutide (0) | 2022.07.08 |
| 트루리시티(Trulicity): Dulaglutide (0) | 2022.07.03 |
| 마운자로 (터제파타이드, tirzepatide) (0) | 2022.06.17 |