베스폰사(Besponsa) : Inotuzumab ozogamicin
안녕하세요 여러분
매력적인 신약을 과학의 눈으로 소개하는 이오형입니다.
오늘부터는 다시 항체-약물 복합체(ADC) 연재를 이어가려고 합니다.
오늘 다루려고 하는 ADC는 베스폰사 라고 하는 약물입니다.

2017년에 FDA 최초 승인을 받았으며.
화이자와 Wyeth사의 합작으로 개발된 약물입니다.


Wyeth사는 초기 ADC의 강자였는데,
총 2개의 ADC개발을 모두 화이자와 함께 했고,
이후 2009년에 화이자에 인수되었습니다.
당시 약 92조원정도에 거래가 완료되었던 제약업계 빅 딜 중 하나였습니다.
오늘은 ADC 연재의 8번째 시간이므로,
여러분이 모두 ADC의 기본적인 개념에 대한 이해가 있다는
전제를 깔고 간략하게 설명을 진행하도록 하겠습니다.
ADC에 대한 전반적인 이해가 필요하신 분들은 ADC소개를 읽어주세요.
https://dueffect.tistory.com/101
바이오제약 신기술 - ADC : 항체-약물 복합체
바이오제약 신기술 - ADC : 항체-약물 복합체 안녕하세요 여러분.제약업계를 과학의 눈으로 분석하는 이오형입니다. 저번에 하던 연재시리즈인 미국 바이오시장은 어떤 신기술을 연구할까
dueffect.tistory.com
오늘은 베스폰사에 대한 간단한 설명과 함께,
화이자-Wyeth사 인수합병에 대한 이야기를 해보겠습니다.
베스폰사란?

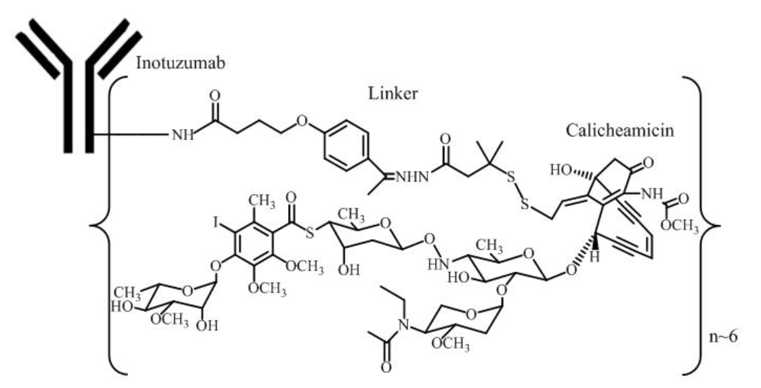
베스폰사는 Inotuzumab ozogamicin 라는 물질을 주 성분으로 가지는 ADC약물입니다.
relapsed or refractory CD22-positive B-cell precursor acute lymphoblastic leukemia
라는 병의 치료에 사용됩니다.
이름이 아주 어렵죠?
간단하게 요약하자면 재발 or 불응성 백혈병 환자 중,
CD22표지자를 가진 B cell 에서 유래한 백혈병 환자들을 위한 약이라는 뜻입니다.
즉 이 병은 B세포 중 CD22를 과발현하는 암세포에 의해서
백혈병을 얻게 된 환자들 중,
기존 치료법이 잘 듣지않거나 재발한 환자들을 위한 약입니다.
그렇다면, CD22가 과발현된 B세포를 없애면 되겠죠?
그래서 베스폰사가 필요합니다
베스폰사의 작용기전
베스폰사는 ADC, 즉 항체-약물 복합체입니다.
약물의 이름은 Inotuzumab ozogamicin 입니다.
이렇게 생겼구요.

Inotuzumab이라는 항체에 ozogamicin이라는 약물이 붙어있습니다.
항체 하나에 최대 6개까지의 ozogamicin이 붙습니다.
이 Inotuzumab항체는 CD22에 특이적으로 결합하는 항체입니다.
아까 위에서 이 약은 CD22가 과발현된 백혈병환자를 위한 약이라고 설명드렸습니다.
그래서 CD22에 붙는 항체를 이용하면 암세포만 타겟할 수 있습니다.
이후 암세포에 베스폰사가 붙게되면,
Endocytosis (세포 내 이입) 작용에 의해 세포 내부로 약이 들어갑니다.
이후 항체와 약물 사이를 연결해주는 링커가 잘리게 됩니다.
그러면 이제 암세포 안에서 약물의 활동이 시작됩니다.
베스폰사의 약물부분은 Calicheamicin 이라는 약물입니다.
이 약물은 핵으로 들어가 DNA에 결합하고,
DNA가 잘리게 됩니다.
이렇게 되면 암세포는 DNA가 망가져
더이상 분열을 할 수 없게 됩니다.
즉 암이 더 생기지도 않고, 기존 암세포도 죽게 되는 것이죠.
정리하자면
베스폰사는 항체를 이용해 CD22를 과발현하는 세포에 붙고
endocytosis에 의해 세포 안으로 들어간 뒤,
링커가 잘리고
약물인 calicheamicin이 DNA를 망가뜨려서
암세포의 사멸을 유도한다.
이렇게 정리가 됩니다.
베스폰사의 경제적 가치
베스폰사는 현재 연매출이 약 3000억원에 불과합니다.
10조원대로 팔리는 다른 블록버스터 드럭에 비해
훨씬 저조한 판매액을 보이고 있습니다.
베스폰사의 원개발사인 Wyeth사는 화이자에 약 92조원에 팔렸었습니다.
그렇다면 Wyeth사는 그만큼의 돈을 화이자에 벌어주었을까요?
정답은 맞다. 입니다.
그런데, ADC가 아닌 다른 분야를 통해서 그만큼을 벌어주었습니다.
먼저 Wyeth사는 총 2개의 ADC 약을 개발했습니다.
최초의 ADC인 Mylotarg와 오늘 다뤘던 Besponsa입니다.
두 약 모두 현재 화이자 산하에서 관리되고 있습니다.
또한 ADC이외에도 굉장히 많은 사업을 하던 회사였습니다.
신약 개발도 하고, 동물 의약품과 일반의약품등 아주 규모가 큰 회사였습니다.
Wyeth사가 개발했던 약품으로는 폐렴백신 프레브나, 건선치료제 엔브렐등도 있습니다.
모두 지금도 화이자에 엄청난 돈을 벌어다주고 있습니다.
이외에도 암치료제, 우울증 치료제 등 아주 다양한 약을 만들었습니다.
당연히 Wyeth사 인수는 화이자의 현재 포트폴리오 구성에 큰 기여를 했습니다.
그러니 당연히 Wyeth인수는 화이자에 큰 도움이 되었겠죠?
그럼 Wyeth사의 ADC 파이프라인을 가져온 것이 화이자에게 어떤 도움이 되었나?
라는 국소적인 부분을 한번 볼게요.
Wyeth사가 개발한 ADC는 Mylotarg과 Besponsa입니다.
현재까지 개발된 13개의 ADC의 판매액을 줄 세워 보면(2023년 기준)
Besponsa는 8위에 불과합니다.
2023년 매출은 236 million$로, 한화 약 3000억원정도에 불과합니다.
화이자에 큰 영향을 주지도,
전체 ADC시장에 큰 영향을 주지도 못하고 있습니다.
즉 Wyeth사 인수는 화이자에게 좋은 영향을 주었지만,
ADC쪽에서는 큰 의미가 없었다는 것이 저의 분석입니다.
오히려 화이자의 ADC쪽 연구에는 최근에 이루어진 Seagen과의 협력이 더 큰 기여를 했다고 할 수 있습니다.
Wyeth VS Seagen
왜 그럼 Wyeth사 인수는 ADC에 큰 영향이 없고
Seagen사 인수는 ADC산업에 큰 영향이 있을까요?

그 이유는 Wyeth사 ADC는 모두 ozogamicin라는 약물을 사용했고,
Seagen 사의 ADC는 모두 vedotin이라는 약물을 사용했기 때문이라고 생각합니다.
Wyeth사의 Ozogamicin 은 DNA독성을 나타내는 약물이며
Seagen사의 Vedotin은 세포골격을 파괴하는 약물입니다.
또한 Wyeth사는 모두 Lymphoma를 목적으로 해서 CD33, CD22번을 타겟하는 항체만 사용했는데,
Seagen은 Lymphoma 뿐만 아니라 방광암 치료제와 자궁경부암 치료제까지 개발했습니다.
즉 혈액암에 국한되어 있는가 - 혈액암과 고형암 모두에 사용가능한가도
큰 차이를 만들어 내는데 기여를 했겠죠?
물론 Wyeth는 ADC에 올인하는 회사가 아니라
그 만큼의 ADC기술력기 없기도 했을겁니다.
화이자의 기업 인수

마지막으로 화이자의 ADC기업 인수에 대해 간단하게 정리해드리겠습니다.
화이자는 2009년 90조 원에 Wyeth사를 인수했고,
2개의 ADC의 권한을 받았습니다.
두 ADC는 아주 뛰어난 약은 아니었기에,
이 분야에서 엄청난 이익은 아니었습니다.
대신 Wyeth사는 당시 엄청난 빅파마였고
여러 블록버스터를 화이자로 가져오게 되어
큰 경제적 이익을 주었습니다.
2023년 화이자의 Seagen인수는 약 56조원에 이루어졌습니다.
3개의 가장 잘나가는 ADC를 얻은것입니다.
Seagen 은 대기업은 아니고 딱 ADC만 하는 회사였기에,
다른 기술이 아닌 정말 딱 ADC에만 56조원을 지출한 것이나 마찬가지이죠.
즉 똑같이 ADC를 만드는 회사를 인수했지만,
하나는 ADC도 하는 대기업이고(Wyeth)
하나는 ADC만 하는 강소기업(Seagen)이었습니다.
화이자가 ADC만을 원해서 인수한 기업은 Seagen 뿐이라는 결론을 내릴 수 있겠습니다.
두 기업을 인수한 목적이 조금 다르다는 것을 확인할 수 있겠죠?
다음에도 기회가 되면 화이자의 인수합병에 대한 이야기를 가져오겠습니다.
그럼 이상으로 베스폰사에 대한 분석과 함께,
화이자의 ADC기업 인수에 대해서도 간단히 정리해드렸습니다.
화이자에 대해 궁금하신분들은 여기를 참고해주세요.
https://dueffect.tistory.com/70
화이자 제약 포트폴리오 분석 - 나를 모르는 한국인은 없겠지?
화이자 제약 포트폴리오 분석 - 나를 모르는 한국인은 없겠지? 오늘은 "2028년, 미래가 기대되는 빅 파마 분석하기"의 다섯 번째 연재 주인공인 화이자에 대해 분석해보겠습니다. 2028년 제약 시장
dueffect.tistory.com
감사합니다.
'바이오주식 > 상품 분석' 카테고리의 다른 글
| 옵신비(Opsynvi) : macitanten/tadalafil - 새로운 폐동맥 고혈압 치료제 (1) | 2024.12.10 |
|---|---|
| 젠엔텍의 새로운 기술, 히알루로니데이스 그리고 알테오젠 (6) | 2024.11.04 |
| 애드세트리스 (ADCETRIS) : Brentuximab vedotin (3) | 2024.10.07 |
| 파드셉(Padcev) : enfortumab vedotin (4) | 2024.09.10 |
| 카스게비 (CASGEVY) : Exagamglogene autotemcel (2) | 2024.09.09 |